PMML 3.2 - Model Explanation

PMML 3.2 - Model Explanation

This document gives an overview of components that can hold further information to explain PMML models. This can be done by, but is not limited to, visualizing the respective information.
The following elements can be used: While univariate statistics and partitions are included in specific parts of the models, all the remaining elements are combined into a single element ModelExplanation.

  <xs:element name="ModelExplanation">
    <xs:complexType>
      <xs:sequence>
        <xs:element ref="Extension" minOccurs="0" maxOccurs="unbounded"/>
        <xs:element ref="ModelQuality" minOccurs="0" maxOccurs="unbounded"/>
        <xs:element ref="Correlations minOccurs="0"/>
      </xs:sequence>
    </xs:complexType>
  </xs:element>


Univariate Statistics

To provide univariate statistics for MiningFields, use UnivariateStats in the ModelStats element as defined in the statistics section. See further information there.


Partitions

Partition elements are defined in the statistics section. They can be used to provide statistics for a subset of records defined by the context in which the Partition element appears. For instance, a Partition in a Cluster element in a cluster model provides statistics for all records that belong to that cluster. A Partition element inside a Node element in a tree model gives statistics on the value distributions of the subset of records that belong to that Node. Likewise, a Partition element in a TargetValue gives details on the distributions of the records for which the model predicted the respective TargetValue.


Model Quality

The ModelQuality element is a wrapper around various elements used to illustrate the quality of a model. Since it is possible to recalculate model quality information for any given dataset that matches the fields specified in the MiningSchema, it also carries information on what dataset the quality information was collected.

  <xs:element name="ModelQuality">
    <xs:complexType>
      <xs:sequence>
        <xs:element ref="Extension" minOccurs="0" maxOccurs="unbounded"/>
        <xs:element ref="ConfusionMatrix" minOccurs="0"/>
        <xs:element ref="LiftData" minOccurs="0"/>
      </xs:sequence>
      <xs:attribute name="targetField" type="xs:string" use="required"/>
      <xs:attribute name="dataName" type="xs:string" use="optional"/>
      <xs:attribute name="dataUsage" default="training"/>
        <xs:simpleType>
          <xs:restriction base="xs:string">
            <xs:enumeration value="training"/>
            <xs:enumeration value="test"/>
          </xs:restriction>
        </xs:simpleType>
      </xs:attribute>
    </xs:complexType>
  </xs:element>

See the successive sections for descriptions on ConfusionMatrix and LiftData.
Attribute description:
  • targetField: Specifies the field that the model quality information refers to. Useful in case a model has multiple predicted fields.
  • dataName: The name of the dataset where the model quality information was collected on.
  • dataUsage: Specifies the phase in which the model quality information was collected. training refers to the initial model building phase. test is the application of the model to data different from the training data after the model has been built.
Example

  ...
  <ModelQuality targetField="salary" dataName="MyData" dataUsage="training" >
    ...
  </ModelQuality
  ...

In this example, the model quality information for the field salary was gathered during training on a dataset named MyData.


Gains/Lift Charts and Ranking Quality Information

Gains and Lift charts are a popular method to display the quality of a predictive data mining model. Regression models have a single Gains chart for the whole model, classification models can have one for each class label. The data for a Gains chart is calculated in the following ways:

  • For classification models, all predictions are ordered by descending confidence for a specific class label.
  • For regression models, all predicted values are ordered by descending magnitude.
The data is then split up into suitable segments of records. The number of segments is up to the user.
The necessary data for Gains and Lift charts is provided in a LiftData element. It is provided by record counts and
  • in case of classification models: The number of records for which the actual value of the predicted field is the class label in question.
  • in case of regression models: The aggregate of the actual values corresponding to the predictions of the interval.
This is essentially a lift representation of the data. The Gains chart can be derived by aggregating the respective value counts.

  <xs:element name="LiftData">
    <xs:complexType>
      <xs:sequence>
        <xs:element ref="Extension" minOccurs="0" maxOccurs="unbounded"/>
        <xs:element ref="ModelLiftGraph"/>
        <xs:element ref="OptimumLiftGraph" minOccurs="0"/>
        <xs:element ref="RandomLiftGraph" minOccurs="0"/>
      </xs:sequence>
      <xs:attribute name="targetFieldValue" type="xs:string"/>
      <xs:attribute name="targetFieldDisplayValue" type="xs:string"/>
      <xs:attribute name="rankingQuality" type="NUMBER"/>
    </xs:complexType>
  </xs:element>

Attribute targetFieldValue in element LiftData gives the class label for which the gains/lift data is provided. It is required for classification models only, and the values must be unique. A normalized version, if applicable, can additionally be provided in attribute targetFieldDisplayValue (see attributes value and displayValue in DataDictionary).
The attribute rankingQuality gives the ranking quality. It is defined in the Gains chart as follows:
(area between model and random curve) / (area between optimum and random curve)
rankingQuality is 1 in case the model is the optimum model. It is close to 0 in case the model is close to a random model. It can be less than 0 in case the model is worse than a random model.

Three types of lift graphs can be included:

  • The ModelLiftGraph holds data for the lift graph of the model.
  • The OptimumLiftGraph has the data of the theoretical optimum lift.
  • The RandomLiftGraph has the data of the lift that would be achieved if a model that randomly predicts would have been used.

  <xs:element name="ModelLiftGraph">
    <xs:complexType>
      <xs:sequence>
        <xs:element ref="Extension" minOccurs="0" maxOccurs="unbounded"/>
        <xs:element ref="LiftGraph"/>
      </xs:sequence>
    </xs:complexType>
  </xs:element>

  <xs:element name="OptimumLiftGraph">
    <xs:complexType>
      <xs:sequence>
        <xs:element ref="Extension" minOccurs="0" maxOccurs="unbounded"/>
        <xs:element ref="LiftGraph"/>
      </xs:sequence>
    </xs:complexType>
  </xs:element>

  <xs:element name="RandomLiftGraph">
    <xs:complexType>
      <xs:sequence>
        <xs:element ref="Extension" minOccurs="0" maxOccurs="unbounded"/>
        <xs:element ref="LiftGraph"/>
      </xs:sequence>
    </xs:complexType>
  </xs:element>

At the mininmum, ModelLiftGraph must always be provided. In case of classification models, OptimumLiftGraph is usually derived from the ModelLiftGraph by assuming that the total number of instances n in which the respective class label is predicted happens in the first n records. It might still be provided explicitly in case there is good reason why the trivial optimum model will not apply. However, regression models must always provide OptimumLiftGraph. RandomLiftGraph is usually derived for both, classification and regression models by intrapolating the start and ending points of the data. Again, there might be good reason why the random assumption is only applicable with restrictions. Hence it is possible to give RandomLiftGraph explicitly.


  <xs:element name="LiftGraph">
    <xs:complexType>
      <xs:sequence>
        <xs:element ref="Extension" minOccurs="0" maxOccurs="unbounded"/>
        <xs:element ref="XCoordinates"/>
        <xs:element ref="YCoordinates"/>
        <xs:element ref="BoundaryValues" minOccurs="0"/>
        <xs:element ref="BoundaryValueMeans" minOccurs="0"/>
      </xs:sequence>
    </xs:complexType>
  </xs:element>

  <xs:element name="XCoordinates">
    <xs:complexType>
      <xs:sequence>
        <xs:element ref="Extension" minOccurs="0" maxOccurs="unbounded"/>
        <xs:group ref="INT-ARRAY"/>
      </xs:sequence>
    </xs:complexType>
  </xs:element>

  <xs:element name="YCoordinates">
    <xs:complexType>
      <xs:sequence>
        <xs:element ref="Extension" minOccurs="0" maxOccurs="unbounded"/>
        <xs:group ref="NUM-ARRAY"/>
      </xs:sequence>
    </xs:complexType>
  </xs:element>

  <xs:element name="BoundaryValues">
    <xs:complexType>
      <xs:sequence>
      <xs:element ref="Extension" minOccurs="0" maxOccurs="unbounded"/>
        <xs:group ref="NUM-ARRAY"/>
      </xs:sequence>
    </xs:complexType>
  </xs:element>

  <xs:element name="BoundaryMeanValues">
    <xs:complexType>
      <xs:sequence>
      <xs:element ref="Extension" minOccurs="0" maxOccurs="unbounded"/>
        <xs:group ref="NUM-ARRAY"/>
      </xs:sequence>
    </xs:complexType>
  </xs:element>

For each segment of the lift chart, the cumulative number of records up to that point is provided in XCoordinates. The respective entry in YCoordinates gives
  • in case of classification models: The number of records for which the class label given by targetFieldValue in LiftData was predicted.
  • in case of regression models: The aggregate of the actual values of the records that fall into that segment by their predicted values.
The cutoff for the segment is provided by the corresponding entry in element BoundaryValues
  • as confidence in case of classification models.
  • as minimum predicted value in case of regression models.
In both cases, the boundary value represents a lower limit for the respective score. That is, all records that are part of the segment must have a value equal to or higher than the respective lower limit in BoundaryValues.

Likewise, element BoundaryMeanValues holds the mean value of the scores for all records that belong to the respective segment.

Notes:

  • The arrays in XCoordinates, YCoordinates, BoundaryValues and BoundaryMeanValues must all be of equal length.
  • There is no obligation to use the same number of segments in ModelLiftGraph, OptimumLiftGraph and RandomLiftGraph. Furthermore, in case the same number of segments is used, the same segment can have different numbers of records in the various graphs.
  • The total number of records, that is, the last value in XCoordinates, must always be the same for ModelLiftGraph, OptimumLiftGraph and RandomLiftGraph.
  • For regression models, the aggregate sum given in YCoordinates for a data segment can be negative. Hence the Gains chart may not be monotonously increasing - it can be decreasing as well!

Example
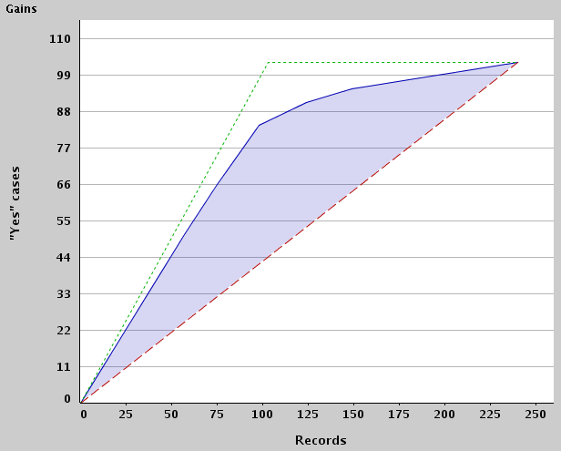
The following sample code is for lift data for a classification model:


  ...
  <LiftData targetFieldValue="1" targetFieldDisplayValue="Yes">
    <ModelLiftGraph>
      <LiftGraph>
        <XCoordinates>
          <Array type="int" n="6">57 75 98 124 149 240</Array>
        </XCoordinates>
        <YCoordinates>
          <Array type="int" n="6">51 15 18 7 4 8</Array>
        </YCoordinates>
        <BoundaryValues>
          <Array type="real" n="6">0.8947 0.8333 0.7826 0.2692 0.16 0.0879</Array>
        </BoundaryValues>
        <BoundaryMeanValues>
          <Array type="real" n="6">0.9134 0.8691 0.8002 0.5389 0.2261 0.1492</Array>
        </BoundaryMeanValues>
      </LiftGraph>
    </ModelLiftGraph>
  </LiftData>
  <LiftData targetFieldValue="2" targetFieldValue="No">
    <ModelLiftGraph>
      <LiftGraph>
        <XCoordinates>
          <Array type="int" n="6">91 116 142 165 183 240</Array>
        </XCoordinates>
        <YCoordinates>
          <Array type="int" n="6">83 21 19 5 3 6</Array>
        </YCoordinates>
        <BoundaryValues>
          <Array type="real" n="6">0.9120 0.84 0.7307 0.2173 0.16667 0.1052</Array>
        </BoundaryValues>
        <BoundaryMeanValues>
          <Array type="real" n="6">0.9569 0.8921 0.7478 0.4301 0.1836 0.1285</Array>
        </BoundaryMeanValues>
      </LiftGraph>
    </ModelLiftGraph>
  </LiftData>
  ...

For instance, the value Yes was predicted 66 times in the first 75 records for which Yes was predicted by the model with the highest confidence. All of these predictions had a confidence of at least 0.8333. In the first segment, Yes was predicted in 51 instances, while the second segment has 75-57=18 records of which 15 have value Yes.
Likewise, value No was encountered 83 times in the first 91 records with a minimum confidence of 0.9120 and a mean of 0.9569. The optimum model would have predicted No in 91 out of 91 cases.

Here is the respective gains chart for class label Yes:

Gains chart for a classification model
The blue line corresponds to ModelLiftGraph, the green line to OptimumLiftGraph and the red line to RandomLiftGraph. Note that the latter two are not present in the example PMML, so the respective curves were derived from ModelLiftGraph.

Example:
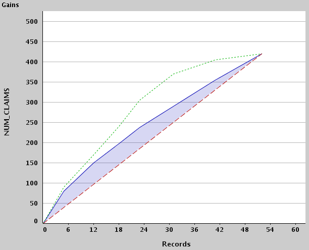
Lift for a regression model predicting the field NUM_CLAIMS:


  ...
  <LiftData>
    <ModelLiftGraph>
      <LiftGraph>
        <XCoordinates>
          <Array n="7" type="int">5 12 18 23 31 41 52</Array>
        </XCoordinates>
        <YCoordinates>
          <Array n="7" type="real">80 70 48 40 53 64 66</Array>
        </YCoordinates>
        <BoundaryValues>
          <Array n="7" type="real">7.4261 7.1911 7.0731 6.9845 6.8072 6.6085 6.4999</Array>
        </BoundaryValues>
        <BoundaryMeanValues>
          <Array n="7" type="real">7.9327 7.6732 7.2982 6.9978 6.8734 6.7254 6.5373</Array>
        </BoundaryMeanValues>
      </LiftGraph>
    </ModelLiftGraph>
    <OptimumLiftGraph>
      <LiftGraph>
        <XCoordinates>
          <Array n="7" type="int">5 12 18 23 31 41 52</Array>
        </XCoordinates>
        <YCoordinates>
          <Array n="7" type="real">90 81 70 65 65 35 15</Array>
        </YCoordinates>
        <BoundaryValues>
          <Array n="7" type="real"> 8 7 6 5 4 3 2</Array>
        </BoundaryValues>
        <BoundaryMeanValues>
          <Array n="7" type="real"> 8.2872 7.8273 6.2362 5.7523 4.7895 3.4356 2.4563</Array>
        </BoundaryMeanValues>
      </LiftGraph>
    </OptimumLiftData>
  </LiftData>
  ...

The lift data was built on a total of 52 records. The first 18 records with the highest predicted values accumulate to 198, and the lower limit for these is 7.0731. The third segment has 6 records accounts for a sum of 48 with a mean value of 7.2982. The optimum model would have predicted values that sum up to 70 in the same segment.

Here is the respective gains chart:

Gains chart for a regression model
Again, the blue line corresponds to ModelLiftGraph, the green line to OptimumLiftGraph and the red line to RandomLiftGraph. Note that OptimumLiftGraph is present in the sample PMML, while RandomLiftGraph had to be drieved from ModelLiftGraph.


Confusion Matrix

The ConfusionMatrix is used in classification models to give an overview of correct and incorrect classifications.

  <xs:element name="ConfusionMatrix">
    <xs:complexType>
      <xs:sequence>
        <xs:element ref="Extension" minOccurs="0" maxOccurs="unbounded"/>
        <xs:element ref="ClassLabels"/>
        <xs:element ref="Matrix"/>
      </xs:sequence>
    </xs:complexType>
  </xs:element>

  <xs:element name="ClassLabels">
    <xs:complexType>
      <xs:sequence>
        <xs:element ref="Extension" minOccurs="0" maxOccurs="unbounded"/>
        <xs:group ref="STRING-ARRAY"/>
      </xs:sequence>
    </xs:complexType>
  </xs:element>

ClassLabels specifies the class labels that the confusion matrix refers to. New values in addition to the class labels of the initial classification model are possible in a test result, if the test data contains values that were not present in the training data.
The rows and columns of the Matrix refer to the sequence of the values as given in ClassLabels. The rows in the matrix give the predicted class labels, while the columns give the actual ones. The matrix must be square, and the number of rows and columns must match the number of values in ClassLabels. Entries in the matrix must be of type integer.

Example
Here is an example for a classification model that predicts the domicile. The confusion matrix

suburban urban rural
suburban 84 19 25
urban 14 123 17
rural 7 42 176
is represented by the following PMML code:

  ...
  <ConfusionMatrix>
    <ClassLabels>
      <Array type="string" n="3">suburban urban rural</Array>
    </ClassLabels>
    <Matrix>
      <Array type="int" n="3"> 84 19 25</Array>
      <Array type="int" n="3"> 14 123 17</Array>
      <Array type="int" n="3"> 7 42 176</Array>
    </Matrix>
  </ConfusionMatrix>
  ...

The confusion matrix tells that in 84 instances, the domicile was correctly predicted to be suburban. In 17 instances, the domicile was predicted to be urban instead of rural. Likewise, in 7 instances rural was predicted instead of suburban.


Field Correlations

The Correlations element is used to give correlations between fields used in a mining model.

  <xs:element name="Correlations">
    <xs:complexType>
      <xs:sequence>
        <xs:element ref="Extension" minOccurs="0" maxOccurs="unbounded"/>
        <xs:element ref="CorrelationFields"/>
        <xs:element ref="CorrelationValues"/>
        <xs:element ref="CorrelationMethods" minOccurs="0"/>
      </xs:sequence>
    </xs:complexType>
  </xs:element>

  <xs:element name="CorrelationFields">
    <xs:complexType>
      <xs:sequence>
        <xs:element ref="Extension" minOccurs="0" maxOccurs="unbounded"/>
        <xs:group ref="STRING-ARRAY"/>
      </xs:sequence>
    </xs:complexType>
  </xs:element>

  <xs:element name="CorrelationValues">
    <xs:complexType>
      <xs:sequence>
        <xs:element ref="Extension" minOccurs="0" maxOccurs="unbounded"/>
        <xs:element ref="Matrix"/>
      </xs:sequence>
    </xs:complexType>
  </xs:element>

  <xs:element name="CorrelationMethods">
    <xs:complexType>
      <xs:sequence>
        <xs:element ref="Extension" minOccurs="0" maxOccurs="unbounded"/>
        <xs:element ref="Matrix"/>
      </xs:sequence>
    </xs:complexType>
  </xs:element>

The CorrelationFields element specifies the field names that the correlations refer to. These field names must match entries of MiningFields in the MiningSchema.

The CorrelationValues matrix holds the correlations in numeric form. The rows and columns refer to the respective entries in CorrelationFields. Valid entries must be in the range of [-1;1]. Values outside of this range indicate that the correlation for the respective field combination is not available.

The CorrelationMethods element is optional and has string entries. The entries correspond to the correlations given in CorrelationValues. For each correlation provided in CorrelationValues, a respective entry must exist in the second one. Valid values for the entries are:

  • pearson: Pearson's correlation coefficient
  • spearman: Spearman's rank correlation coefficient
  • kendall: Kendall's τ
  • contingencyTable: Contingency table
  • chiSquare: Χ2 test
  • cramer: Cramer's V
  • fisher: Fisher's exact test
Note that some of these methods are distribution tests, since especially for categorical fields, it is popular to use distribution tests to express correlations. Entries that would refer to missing entries in the CorrelationValues must, if specified, still have one of these valid values.
If CorrelationMethods is not present at all, defaults are pearson for correlations between numeric fields, and contingencyTable for any other combination. Otherwise, a corresponding entry for each entry in CorrelationValues must be present. Note that correlations between numeric and non-numeric fields are usually done by defining buckets for the numeric field. These buckets are not covered here.

Note that both matrices must be symmetric.

Example
Here is an example correlation table:


  ...
  <Correlations>
    <CorrelationFields>
      <Array n="5" type="string"> "Age" "Angina" "Blood_Pressure" "Cholesterol" "Diseased" /Array>
    </CorrelationFields>
    <CorrelationValues>
      <Matrix kind="symmetric" nbRows="5" nbCols="5">
        <Array n="1" type="real"> 1</Array>
        <Array n="2" type="real"> 0.6207 1</Array>
        <Array n="3" type="real"> -0.2651 0.5793 1</Array>
        <Array n="4" type="real"> 0.2161 -99 0.1344 1</Array>
        <Array n="5" type="real"> 0.5649 0.5700 0.5257 -99 1</Array>
      </Matrix>
    </CorrelationValues>
    <CorrelationMethods>
      <Matrix kind="symmetric" nbRows="5" nbCols="5">
        <Array n="1" type="real"> pearson</Array>
        <Array n="2" type="real"> cramer cramer</Array>
        <Array n="3" type="real"> spearman cramer spearman</Array>
        <Array n="4" type="real"> fisher contingencyTable spearman spearman</Array>
        <Array n="5" type="real"> contingencyTable chiSquare chiSquare chiSquare chiSquare</Array>
      </Matrix>
    </CorrelationMethods>
  </Correlations>
  ...

For instance, according to this sample, the correlation between Age and Blood_Pressure is -0.2651 and was calculated using Spearman's rank correlation coefficient. The correlation between Diseased and Cholesterol is not available.
e-mail info at dmg.org